常温超伝導、世紀の大発見となるか、韓国版STAP細胞となるか。
— POWERの麒麟児 (@SCP_massu_JP_) August 6, 2023
常温常圧超伝導ってなんだかよく知らんのだけど、室温・標準大気圧でなんか浮くってところから察するに尊師が実現されたってこと?
— 狂犬 (@thanks_1217) August 4, 2023
何が超電導だ社会から浮くだけなら私でもできる
— ランダム 脳を溶かす (@anna___mann) August 3, 2023
磁気浮上した!
— 部品(森七菜) (@tjmlab) August 9, 2023
→強磁性でした
ゼロ抵抗みえた!
→不純物のCu2Sでした
LK‐99、ほなまた。。。🤚
これですか…硫化銅って385Kあたりで一次相転移してストンと電気抵抗値が下がるのね。だけど超伝導になってるわけじゃない…んだけどそれっぽく見えちゃう。LK-99はそれらがコンタミ起こしてて超伝導と誤解されたんじゃね?って話。なんかもう…悲しくなってきた…https://t.co/XOJCHEJiWe
— Phantom Cat@エブリスタetc. (@PhantomCat16) August 9, 2023
LK-99の追試結果の一つです。この論文だと強磁性が確認されたとさ。残念。https://t.co/QIBUuPaEd6
— kei07224 (@kei07224) August 8, 2023
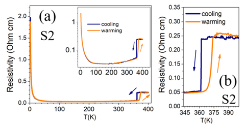
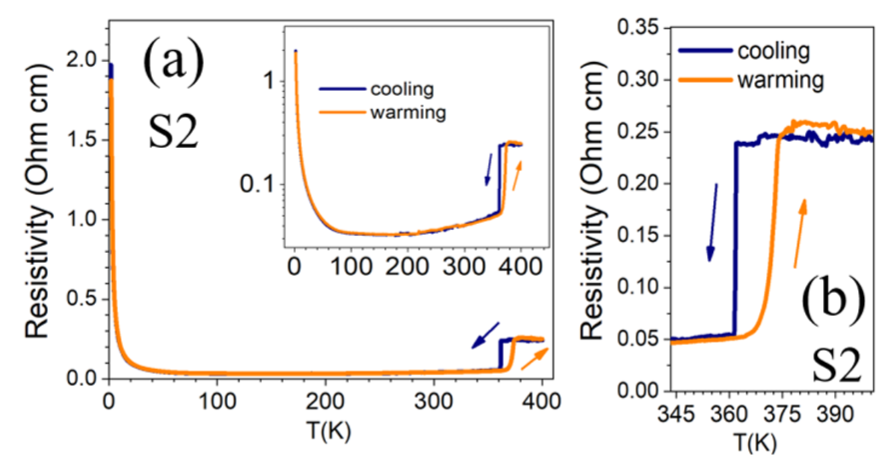
常温超伝導がダメでも冷やせば結構な高温で超伝導になるんじゃない?と思ってたけど、100Kまで冷やしても変化なし。 pic.twitter.com/HhACcQnWbC
結局ただの強磁性体なんかい
— 監視員Y (@observer___y) August 9, 2023
ゼロ抵抗も不純物かい
南無三
「LK-99は室温・常圧超伝導体というよりは、むしろ磁石である可能性が高い」
— ニイやん (@btcscalper225) August 9, 2023
ワロタ
超伝導体は小保方案件だったか…常温常圧超伝導体はありまぁすけど出来ない
— NIKE卍 (@173205080757) August 8, 2023
2014「STAP細胞はありまぁす!」
— AndroPlus (@AndroPlus_org) August 4, 2023
2023「LK-99はありまぁす!」
なぜ学習しないのか
韓国はSTAP細胞の前に、ES細胞捏造というやらかしをやってますね。
— パンのシーズン (@Rongchang) August 4, 2023
STAP細胞の時は小保方さんがSTAP細胞でミュータントに変貌して記者を襲う文章が作られたけど、今度はLK-99もインタビューを受けていたスタッフが「LK-99は存在するのだよ!」って突然規格外のパワースーツを装着して記者を捻り殺していく文章が書かれるのかな、とか、考えていました。
— 半霊の人/キャノン (@hanrei_7) August 8, 2023
硫化銅の室温超伝導を信じて24年間研究していたと思うと泣けてくる。
— 部品(森七菜) (@tjmlab) August 9, 2023
ちゃんとゼロ抵抗と磁化率と結晶構造を同定しような・・・
普通の研究室なら
— 小谷太郎 (@tarokotani) August 8, 2023
学生「常温常圧超伝導できちゃった!!!」
先生「(チラッ) それ強磁性」
てなるはずなんだけど、どうしてこうなった😩
もろもろの再現実験や理論的な議論のスピードで中国のチームが他を圧倒したの、普通に脅威だし材料系での日本のアドバンテージはだいぶ昔に失われてたのかもしれない気がしてきた。本格的に日本で製造業やるメリット無くなってきたな
— ぷらす🥢🥢🥢🥢 (@pullus) August 9, 2023
そもそも研究者畑は初報から様子見機運だったと思うが
— タケ (@bunnyatake) August 9, 2023
結局LK-99は株価操作が目的の詐欺だったんですかね
— 🐶こむぎちゃん💛 (@komugame) August 4, 2023
https://jp.tradingview.com/chart/?symbol=KRX%3A294630
※韓国版STAP細胞の本命株SuNAM
LK-99の騒ぎをみて送電線作ってる米株会社を買う位の乞食志向でベットできる人が羨ましい。ちなみに爆上げしてました。
— エア絆 .lens (📽️, 🌿) (@akashi_riot) August 3, 2023
※社名に「スーパーコンダクター」があるだけで人気化した米AMSC
LK-99、楽しかったよ。ありがとう。(´・ω・`)
— 僻地課長 (@bubu0404) August 9, 2023








コメント
コメント一覧 (87)
市況かぶ全力2階建
が
しました
市況かぶ全力2階建
が
しました
まともな学術界じゃねえって噂はよく聞く話
朝鮮は、歴史をみたら北朝鮮が本来の姿で、日本が関わったこの100年が異常な姿だからな
市況かぶ全力2階建
が
しました
市況かぶ全力2階建
が
しました
市況かぶ全力2階建
が
しました
市況かぶ全力2階建
が
しました
市況かぶ全力2階建
が
しました
市況かぶ全力2階建
が
しました
市況かぶ全力2階建
が
しました
市況かぶ全力2階建
が
しました
市況かぶ全力2階建
が
しました
市況かぶ全力2階建
が
しました
市況かぶ全力2階建
が
しました
市況かぶ全力2階建
が
しました
こちらはただのミスで捏造のSTAP細胞とは別
市況かぶ全力2階建
が
しました
市況かぶ全力2階建
が
しました
市況かぶ全力2階建
が
しました
市況かぶ全力2階建
が
しました
あるなら関係者の株式売買捜査したらしばらくして捕まってそう
市況かぶ全力2階建
が
しました
市況かぶ全力2階建
が
しました
ただ全体として韓国科学会の権威筋主流派はずっと冷淡だったし
まさにバカしか盛り上がってなかった感
市況かぶ全力2階建
が
しました
まともな科学体制なんぞあるわけがねえだろ
法律すら日本に頼って状態だって話だしな。それも照射事件で断ち切られたらしいから、今後、あいつらの法律は欠陥運用になっていくぞ?
市況かぶ全力2階建
が
しました
市況かぶ全力2階建
が
しました
研究チームは学会側がサンプルよこせって言っても拒否するしマジ糞
市況かぶ全力2階建
が
しました
新素材とか発見が有用ならそこから我々の生活も変わってきたのが今までだし
市況かぶ全力2階建
が
しました
市況かぶ全力2階建
が
しました
市況かぶ全力2階建
が
しました
市況かぶ全力2階建
が
しました
流石のマスコミにもリケジョの教訓ちゃんと根付いてるんだ…
市況かぶ全力2階建
が
しました
市況かぶ全力2階建
が
しました
市況かぶ全力2階建
が
しました
99のついてる企業の株価は上がるとか、そんな話
市況かぶ全力2階建
が
しました
ちゃんと論文の中身を読んで理解しような・・・
市況かぶ全力2階建
が
しました
市況かぶ全力2階建
が
しました
市況かぶ全力2階建
が
しました
売れない作家みたいに20年以上この作品は売れると書き続けて
結局、売れずじまいで終わる虚しさを感じる。
市況かぶ全力2階建
が
しました
「な、なんだ、なんだ、なんだ? いったい何があったんだ! 爆上げしとるやん」
「それ、ただのイナゴタワーです」「すぐに元に戻るよ、釣られて買った奴はバカの極みです」
市況かぶ全力2階建
が
しました
小保方晴子みたいなねつ造じゃないだろ。
市況かぶ全力2階建
が
しました
市況かぶ全力2階建
が
しました
信じてたらとっくの昔に雑誌に投稿してます。査読なしでネットなんかにあげません。
市況かぶ全力2階建
が
しました
なんか第一種永久機関を探してるような感じに見えるんだけど
市況かぶ全力2階建
が
しました
というよりは勘違い案件かな?
市況かぶ全力2階建
が
しました
10年も前には既にこの分野の論文では中国が圧倒的で、人材の質がまともなのに人数がご存じの通りなので人海戦術で席巻してたぞw
市況かぶ全力2階建
が
しました
市況かぶ全力2階建
が
しました
そもそも原論文を確認している人どれくらいいるんだろう。
元論文からは幾つか「あやしい」徴候は見て取れるが、それでも正当な検証工程を経る前にこれが「ありえない」と断じるのは悪魔の証明。
サイエンスなんて、トライアル&エラーの地道な繰り返しで徐々に発展していくもので、ある発見で世界が魔法のように変わる、なんて幻想なんだから、それが理解できない人は他人の養分になるしかない。
市況かぶ全力2階建
が
しました
市況かぶ全力2階建
が
しました
市況かぶ全力2階建
が
しました
市況かぶ全力2階建
が
しました
それなのに指摘されてもウソを主張し続けた小保方と同一視するやつ多すぎ
これを総叩きしてる人に限って、何度もチャレンジした誰かが成功したら「失敗にめげず挑戦し続けることが大事」とか言うんだよなあ
市況かぶ全力2階建
が
しました
市況かぶ全力2階建
が
しました
この手の常温超電導の騒動はしょっちゅうあるみたいだけど、今回だけ一般にも広がり話題になったのはなぜだろうか?
理由が気になる。
市況かぶ全力2階建
が
しました